[인사]전남 나주시(2026년 1월2일자)
2025-12-29 16:19
add remove print link
[인사]전남 나주시(2026년 1월2일자)
[위키트리 광주전남취재본부 노해섭 기자]

![]()
![]()
![]()
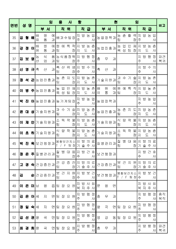
전남 나주시(시장 윤병태)는 2026년 1월 2일자로 팀장 전보 및 파견 인사를 단행했다.




copyright
위키트리의 콘텐츠는 출처를 반드시 표기하여 비 상업적인 용도로만 이용할 수 있습니다. 무단 전재·배포·전송은 원칙적으로 금합니다.
위키트리는 뉴스 스토리텔링 가이드라인을 엄격히 준수합니다.
-
전남 나주시, 19일부터 ‘강상구 권한대행’ 체제 가동~ “6·3 선거까지 흔들림 없는 시정”
-
전남 나주시, 150억 투입 ‘남평읍 복합청사’ 건립 본궤도~ 2027년 9월 준공 목표